What Is The Prime Factorization Of 3125 : Write The Prime Factorization Of 3125 Brainly In - Prime factorization is finding which prime numbers multiply together to make the original number.

What Is The Prime Factorization Of 3125 : Write The Prime Factorization Of 3125 Brainly In - Prime factorization is finding which prime numbers multiply together to make the original number.
What Is The Prime Factorization Of 3125 : Write The Prime Factorization Of 3125 Brainly In - Prime factorization is finding which prime numbers multiply together to make the original number.

What Is The Prime Factorization Of 3125 : Write The Prime Factorization Of 3125 Brainly In - Prime factorization is finding which prime numbers multiply together to make the original number.. You could get the same result with a different tree! Prime factorization is similar to factoring a number and considering only the prime numbers (2, 3, 5, 7, 11, 13, 17, 19, and so on) among all the factors. The prime factorisation of 1, the multiplicative identity, is the empty set of primes. What are the prime factors of 12 ? Which of the following is the equivalent ratio of 12 :

In fact, this problem lends itself quite nicely to prime factorization, in which the math itself is relatively innocuous. Knowledge of how to use these numbers will improve arithmetic and make calculations more efficient. No matter which way you write it, you'll be getting the same numbers for your factorization. Using this method, the prime factorization is found by looking at all of the numbers outside the division symbols. Find the prime factorization of 40 and.

Rd Sharma Class 7 Math 6th Chapter Exponents Exercise 6 1 Solution
Rd Sharma Class 7 Math 6th Chapter Exponents Exercise 6 1 Solution from www.netexplanations.com
Learn how to get and calculate prime number factors and the formula using online calculator and worksheet table. Factorization means that you break a number into its factors. Online prime factorization calculator that produces the canonical prime factorization as well as a color factor tree. It has four prime factors, but only one distinct prime factor. {2, 3, 5, 7, 11, 13, 17, 19, 23 since 125 ends in 5, it is evenly divisible by 5, which is a prime number. It has no prime factors and is neither prime nor composite. Prime factorization, and they say exponential notation. Or that $3125=5*5^4$ or $125= 5^3$ or simple the thing is divisible by $5.

Factorization means that you break a number into its factors.

And what is a prime number, you may ask? We'll worry about the exponential notation later. The tables contain the prime factorization of the natural numbers from 1 to 1000. The prime factors of 16 are 2, 2, 2, and 2. Is the unique list of prime numbers (with repetition) whose product give that integer. Prime factorization, also known as integer factorization, is a basic mathematic function, generally a method of finding the prime factors (the basic building blocks of a number) of an integer. The dignity of science seems to demand that every aid to the resolution of composite numbers into their prime factors be the running time of the r method (discussed below) is roughly proportional to the square root of that. And just as a refresher, a prime number is a number that's only divisible by itself and one, so examples of prime. The prime factorisation of 1, the multiplicative identity, is the empty set of primes. Related links is 3125 a perfect square? It is best to start working from the smallest prime number, which is 2, so let's check Other numbers are called composite numbers and have a minimum of two prime factors. Prime factorization means finding all the prime numbers that are factors of a number.

For example, the prime factorization of 147 is 3, 7, 7. Every integer has a unique prime factorisation, so it doesn't matter which factors are. Is the unique list of prime numbers (with repetition) whose product give that integer. Some number can only be divided by 1 or the number itself. Or that $3125=5*5^4$ or $125= 5^3$ or simple the thing is divisible by $5.

Express Each Of The Following As A Product Of Prime Factors Only In Exponential Form Sarthaks Econnect Largest Online Education Community
Express Each Of The Following As A Product Of Prime Factors Only In Exponential Form Sarthaks Econnect Largest Online Education Community from www.sarthaks.com
In fact, this problem lends itself quite nicely to prime factorization, in which the math itself is relatively innocuous. Shows 2 x 3 x 5 as the prime factorization of 30. Use the last digit as a clue for so if i had $4001953125$ i could simply recognize that $001953125 = 5^9$. Start by dividing the number by the first prime number 2 and continue dividing by 2 until you get a decimal or remainder. It is best to start working from the smallest prime number, which is 2, so let's check Factoring very large numbers that include very large primes is very difficult even with a computer and many years of time, and this is the basic reason why modern cryptography works. What is the prime factorization of 2900? Calculate prime factorization of 3125 numbers.

Knowledge of how to use these numbers will improve arithmetic and make calculations more efficient.

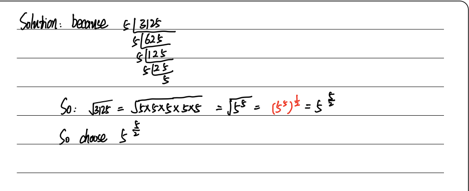
Since we're doing the prime factorization, you can just use the long division algorithm that you learned in grade school. The tables contain the prime factorization of the natural numbers from 1 to 1000. Prime factorization, and they say exponential notation. Is the unique list of prime numbers (with repetition) whose product give that integer. A factor string where all the factors are prime numbers is called a prime factorization. Or that $3125=5*5^4$ or $125= 5^3$ or simple the thing is divisible by $5. And just as a refresher, a prime number is a number that's only divisible by itself and one, so examples of prime. Prime factors of 3125 =5, 5, 5, 5, 5. Since 3 is prime, factoring is completed, and the prime factorization of 24 is 2 × 2 × 2 × 3. In the factorization of large numbers, trial division is. Another way to find the prime factorization of a number is to simply recognize the number as a product of two smaller numbers, and factor each of the smaller numbers. It has no prime factors and is neither prime nor composite. For example, the prime factorization of 147 is 3, 7, 7.

Since 3 is prime, factoring is completed, and the prime factorization of 24 is 2 × 2 × 2 × 3. There is more than one possible answer. Prime factors of 3125 =5, 5, 5, 5, 5. Prime factorization prime factorization is used to find prime factors of any given number. Prime factorization means finding all the prime numbers that are factors of a number.

Prime Factors Of 3125
Prime Factors Of 3125 from factorization.info
Prime factorization is finding which prime numbers multiply together to make the original number. No matter which way you write it, you'll be getting the same numbers for your factorization. You could get the same result with a different tree! It is best to start working from the smallest prime number, which is 2, so let's check All those factors are now prime numbers, so we can't split 120 up any further. Getcalc.com's prime or integer factorization calculator is to find what are all the prime factors of 3125? Prime factors of 3125 =5, 5, 5, 5, 5. A factor string where all the factors are prime numbers is called a prime factorization.

There are several different ways to write prime factorization;

Prime factorization is finding which prime numbers multiply together to make the original number. The dignity of science seems to demand that every aid to the resolution of composite numbers into their prime factors be the running time of the r method (discussed below) is roughly proportional to the square root of that. Prime factors of 3125 =5, 5, 5, 5, 5. It has four prime factors, but only one distinct prime factor. Factoring very large numbers that include very large primes is very difficult even with a computer and many years of time, and this is the basic reason why modern cryptography works. Prime factorization prime factorization is used to find prime factors of any given number. Prime factorization means finding all the prime numbers that are factors of a number. Hello, bodhaguru learning proudly presents an animated video in english which explains how to do prime factorization. Since 3 is prime, factoring is completed, and the prime factorization of 24 is 2 × 2 × 2 × 3. What is the prime factorization of 2900? The prime factorization of 3,125. Then divide by 3, 5, 7, etc. Please help by expanding it!

It has no prime factors and is neither prime nor composite what is the prime factorization of 31. Here are some quick examples of what numbers look like so we still end up with 12 = 2 x 2 x 3 (or 22 x 3) as a product of prime factors (prime factorization.
Advertisement